比赛场次 720
比赛名称 2025.12.20
比赛状态 已结束比赛成绩
开始时间 2025-12-20 08:00:00
结束时间 2025-12-20 12:30:00
开放分组 全部用户
组织者 梦那边的美好ET
注释介绍 请合理分配时间!
题目名称 String
输入输出 changgao_string.in/out
时间限制 1000 ms (1 s)
内存限制 512 MiB
测试点数 10 简单对比
用户 结果 时间 内存 得分
Gravatar彭欣越 AWWWWWWWWW 0.027 s 3.66 MiB 10
GravatarZZ AWWWWWWWWW 0.028 s 3.66 MiB 10
Gravatar梦那边的美好ME AWWWWWWWWW 0.028 s 3.67 MiB 10
Gravatarxuyuqing AWWWWWWWWW 0.029 s 3.66 MiB 10
Gravatar汐汐很希希 AWWWWWWWWW 0.203 s 26.59 MiB 10

4. String

★★★★   输入文件:changgao_string.in   输出文件:changgao_string.out  
时间限制:1 s   内存限制:512 MiB

【题目描述】

大样例

【输入格式】

【输出格式】

【样例输入1】

2 650

【样例输出1】

zyz

【样例输入2】

2 651

【样例输出2】

-1

【样例输入3】

5 12345678901234

【样例输出3】

yuzczuyuyuzuyci

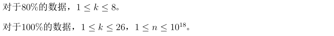
【数据规模与约定】

【来源】

常2.26