题目名称 4331. 「Wdoi-6」另一侧的月
输入输出 moonside.in/out
难度等级 ★★★☆
时间限制 1000 ms (1 s)
内存限制 250 MiB
测试数据 10
题目来源 Gravatar梦那边的美好ME 于2026-02-28加入
开放分组 全部用户
提交状态
分类标签
分享题解
通过:1, 提交:3, 通过率:33.33%
Gravatar梦那边的美好ME 100 0.631 s 4.22 MiB C++
Gravatar梦那边的美好ME 0 0.051 s 3.98 MiB C++
Gravatar梦那边的美好ME 0 0.426 s 3.87 MiB C++
关于 「Wdoi-6」另一侧的月 的近10条评论(全部评论)

4331. 「Wdoi-6」另一侧的月

★★★☆   输入文件:moonside.in   输出文件:moonside.out   简单对比
时间限制:1 s   内存限制:250 MiB

【题目背景】

「人类的梦想之一,月面旅行对一般人也终于成为可能!」   「从下个月起日本各个旅行公司将开始展开旅行」  

然而,月球的表面,有着将月之都与荒凉的无生命星球隔开的一道结界。只要这道结界存在,人们只能看到石头罢了。

而月面旅行的费用,也绝不是身为大学生的莲子与梅莉二人所能承担的。但是,她们想要探寻的是,被结界所包裹的,有着高度发达文明的月之都。

这,便是另一侧的月。梅莉她看见了。兔子在捣药,身着华美的服装,优雅地在天空中起舞的天女。

「我说莲子啊。如果月面旅行太贵实在不行的话,我们要不要试着想点别的办法去月球呢?」

【简要题意】

给定 $n$ 个节点的树(保证 $n\ge 2$),Hifuu 和 Luna 交替操作,前者先手。每回合操作者选择一个节点,将「该节点」和「所有与该节点相连的边」删除,形成若干个连通块,操作者再从中保留一个连通块。如果该回合结束后只剩下一个节点,则该回合的操作者失败,另一个人胜利。问谁存在必胜策略。

【原始题意】

但是,月之都是有结界保护的,也就是说莲子与梅莉若是想要用一些方式完成月球旅行,势必要突破这层结界。

月之都的结界是由 $n$ 个节点,$n-1$ 条灵能输送渠道构成的连通的结构,其中节点编号为 $1 \sim n$。结界有一个中枢控制系统,以提防外界的人闯入结界,抵达月之都。莲子和梅莉便需要与这个控制系统进行一些交互,才能进入月之都。

具体而言,莲子梅莉,和中枢控制系统是交替进行操作的,其中莲子梅莉是**先手**。操作方可以任意选择结界上的一个节点,将连向这个节点的**所有**灵能输送渠道全部断绝,同时废弃这个节点。这也就意味着,这会把结界分为若干**组**节点,不同组的节点之间没有灵能输送渠道,而组内的节点由灵能输送渠道相连。在这些节点组中,操作者可以任意保留**一组**节点,将另外所有节点**全部废弃**,即,之后再也无法操作这些被废弃的节点了。

在这样的规则之下,若操作结束后,最后只剩下一个节点,那么操作者失败,另一个人取得胜利。现在莲子和梅莉希望知道,在这样的规则之下,她们是否存在一种必定能够抵达月之都的策略?


【输入格式】

本题多组数据。第一行输入一个正整数 $T$,表示数据组数。对于每一组数据:

第一行有一个正整数 $n$。

接下来 $n-1$ 行,每行两个正整数 $u_i,v_i$。表示一条连接节点 $u_i$ 和 $v_i$ 的双向的灵能输送渠道。

【输出格式】

对于每一组数据,输出莲子和梅莉是否能够到达月之都。具体而言,若她们存在必定能到达月之都的策略,则输出 $Hifuu$,否则输出 $Luna$

【样例1输入】

1
5
2 4
1 2
3 1
5 2

【样例1输出】

Hifuu

【样例2输入】

1
11
1 2
1 3
1 4
2 5
2 6
4 7
5 8
5 9
9 10
9 11

【样例2输出】

Hifuu

【样例2输入】

1
2
1 2

【样例2输出】

Luna

【样例解释】

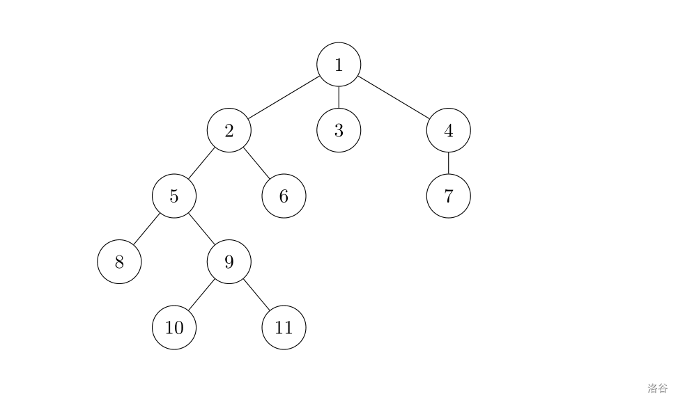
图 $1$ 是结界。图 $2$、图 $3$ 展示了一种莲子和梅莉可能的一种必胜策略:选择节点 $2$,然后保留 $\{1,3\}$ 所处的连通块,那么中枢控制系统无论是选择节点 $1$ 还是 $3$ 都必输。

【数据规模与约定】

对于 $100\%$ 的数组: $1 \leq T \leq 5$,$2 \le n \le 10^5$,输入数据构成一棵树。

对于 $10\%$ 的数据: $n \leq 8$

对于 $20\%$ 的数据: $n \leq 10^5$,满足特殊性质 $A$

对于 $20\%$ 的数据: $n \leq 10^5$,满足特殊性质 $B$

对于 $20\%$ 的数据: $n \leq 10^3$

对于 $30\%$ 的数据: $n \leq 10^5$

特殊性质 $A$:保证存在一个点度数为 $n-1$。

特殊性质 $B$:保证 $n=2^k-1,k \in N^*$。且树的形态是完全二叉树。

【来源】

洛谷P8347 「Wdoi-6」另一侧的月